S. de Vries1*, C.O. van IJzendoorn2
1 Delft University of Technology, The Netherlands; 2 Utrecht University, The Netherlands
* Corresponding author: sierd.devries@tudelft.nl
Introduction
The morphology of coastal dunes changes with time. Long term sediment supply and aeolian wind forcing cause dunes to grow gradually and storms cause dunes to erode. Yearly measurements of dune morphology collected over several decades have revealed different developments of dune volumes at different locations (e.g. de Vries et. al., 2012; Strypsteen et. al., 2019).
Together with natural processes, interventions in the coastal zone have likely influenced the development of coastal dunes on decadal scales at the Wadden Sea Islands. Examples of interventions during the past decades are sediment nourishments at the beach or shoreface (Brand et., al. 2025), installation of notches in the dunes, planting/removal of vegetation and development of urban infrastructure.
In this paper, the decadal development of coastal dunes affected by interventions and natural processes at the Wadden Sea Islands is investigated. The extensive measurements along the Dutch coastal zone (since 1965 to date) and the diverse set of interventions, provides a unique opportunity to unravel the effects of interventions and natural processes on decadal scale dune dynamics on the Wadden Sea Islands.
Objective and Methods
For this study, the Dutch JARKUS dataset (JAaRlijkse KUStmeting) is employed. The JARKUS dataset consists of topographic measurements that include foreshore, beach and dune area along approximately 350km coastline collected yearly since 1965, with transects are spaced 200-250m alongshore. The JARKUS Analysis Toolbox (‘JAT’ as described in van IJzendoorn et. al., 2021) is used to analyze the measured topographic profiles and derive yearly dune volumes at 470 transect locations along the coast of the Wadden Sea Islands (where only transect locations that contain more than 40 years of data are considered).
Dune volumes are extracted for every year at every transect location following the procedure described in De Vries et. al. (2012). For every transect location a piecewise linear relationship is fitted where it is hypothesized that interventions cause a break in trend of dune volume development. The year of the break in trend and the magnitude of the trends before and after the ‘break point year’ are the free fitting parameters that are optimized by minimizing the root mean square error.
Results
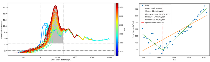
The extracted timeseries of the development of dune volumes indeed show a break in trend at many transect locations along the coast of the Wadden Islands (see Figure 1 for a clear example at Paal 14 Texel).
The current analysis of the dune volume development and the piecewise linear fits suggests that interventions along the Dutch coast may have caused a break in trend of dune volume development at many locations along the Wadden Sea Islands. The break in trend may be explained due to a combination of interventions and natural processes. Results of this study provide insights into the typical behavior of the dune system which may help the integral management of dynamic coastal dunes as part of the sediment sharing coastal profile (foreshore-beach-dune).

Figure 1. Left panel shows an example of the measured dune development at paal 14 on Texel. Right panel shows the piecewise linear fit of dune volume development in time with a break in trend at 1993. Before 1993 the dune volume decreased by about 17m3/yr and after 1993 the volume increased by about 21m3/yr (transect ID-6001410).
References
de Vries, S., Southgate, H. N., Kanning, W., & Ranasinghe, R. W. M. R. J. B., 2012. Dune behavior and aeolian transport on decadal timescales. Coastal engineering, 67, 41-53.
Strypsteen, G., Houthuys, R., & Rauwoens, P. (2019). Dune volume changes at decadal timescales and its relation with potential aeolian transport. Journal of Marine Science and Engineering, 7(10), 357.
van IJzendoorn, C. O., de Vries, S., Hallin, C., & Hesp, P. A., 2021. Sea level rise outpaced by vertical dune toe translation on prograding coasts. Scientific reports, 11(1), 12792.
Brand, E., Lodder, Q., Quataert, E., & Slinger, J. (2025). Sustainable coastline management-the cumulative effects of 30 years of nourishments in the Netherlands. Ocean & Coastal Management, 270, 107895.


