M.Bonenkamp1*, A.W. Baar1, J.H. Nienhuis2, J.E.A. Storms1
1 Delft University of Technology, The Netherlands; 2 Utrecht University, The Netherlands
* Corresponding author: m.bonenkamp@tudelft.nl
Introduction
Estuaries are highly dynamic landscapes shaped by interactions between tides, rivers and sediments. Natural shifts and anthropogenic interventions, ranging from global sea-level rise to the damming of major river systems, are disrupting estuaries around the globe. Numerical models are a useful tool to understand the drivers of estuarine change, and previous research successfully quantified the effects of river discharge and sea level rise on estuarine morphology (Baar et al. 2023). However, an important limitation remains: most existing numerical modelling studies prescribe river discharge and sediment supply as a constant boundary condition, despite the wide range of hydrological regimes observed in natural systems. The extent to which variability in river discharge, rather than its mean value, controls internal estuarine morphodynamic behaviour and adaptation timescales remains poorly understood.
Objective and Methods
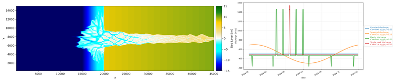
This study investigates how temporal variability in river discharge and sediment supply influences internal estuarine morphological evolution and the timescales of change. Using an idealized depth-averaged (2DH) Delft3D-FM morphodynamic model, we isolate the effect of variability in river discharge and sediment supply on estuarine morphodynamics. Based on a global hydrological data analysis (Nienhuis et al. 2020; Nienhuis et al. 2018), different forcing scenarios have been developed: constant (baseline), seasonal (periodic), flashy (intermittent extreme events), and single peak (one high-magnitude, short-duration event).
Results
It is hypothesized that high-magnitude, short-duration events act as morphological accelerators, potentially shortening adaptation timescales compared to constant flow regimes. We further explore if thresholds in discharge intermittency can induce non-linear shifts in channel-bar configurations and intertidal area distribution. Such responses may exhibit latency, where the morphological ‘memory’ of a system affects its resilience to changing forcing regimes. By explicitly accounting for hydrological variability, this work advances process-based understanding of estuarine morphodynamics and contributes to improving predictions of estuarine evolution under climate change and increasing anthropogenic pressure.

Figure 1: Idealized Delft3D-FM 2DH model domain (left) and river discharge variability forcing scenarios (right).
References
Baar, A. W., Braat, L., & Parsons, D. R. (2023). Control of river discharge on large-scale estuary morphology. Earth Surface Processes and Landforms, 48(3), 489–503.
Nienhuis, J. H., Ashton, A. D., & Edmonds, D. A. (2020). Global-scale human impact on delta morphology has led to net land area gain. Nature, 577, 514–518.
Nienhuis, J. H., Hoitink, A. J. F., & Törnqvist, T. E. (2018). Future change to tide-influenced deltas. Geophysical Research Letters, 45(8), 3499–3507.


